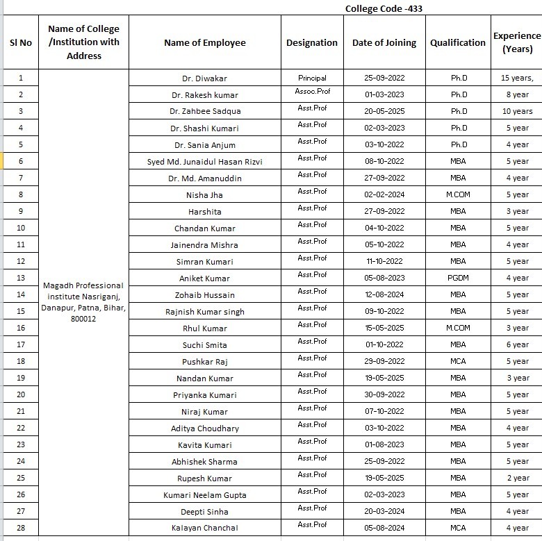
Our Faculty
Name : Dr. Diwakar 
Designation : Principal
Qualification : PhD (Management)
Experience : 20+ Years
| S. No. | Name | Designation |
| 1 | Dr. Diwakar | Principal |
| 2 | Dr. Rakesh Kumar | Assoc. Prof |
| 3 | Dr. Md. Amanuddin | Assoc. Prof |
| 4 | Dr. Shashi Kumari | Asst. Prof |
| 5 | Dr. Sania Anjum | Asst. Prof |
| 6 | Syed Md. Junaidul Hasan Rizvi | Asst. Prof |
| 7 | Dr. Zahbee Sadqua | Asst. Prof |
| 8 | Nisha Jha | Asst. Prof |
| 9 | Harshita | Asst. Prof |
| 10 | Chandan Kumar | Asst. Prof |
| 11 | Jainendra Mishra | Asst. Prof |
| 12 | Simran Kumari | Asst. Prof |
| 13 | Aniket Kumar | Asst. Prof |
| 14 | Zohaib Hussain | Asst. Prof |
| 15 | Rajnish Kumar Singh | Asst. Prof |
| 16 | Rahul Kumar | Asst. Prof |
| 17 | Suchi Smita | Asst. Prof |
| 18 | Pushkar Raj | Asst. Prof |
| 19 | Nandan Kumar | Asst. Prof |
| 20 | Priyanka Kumari | Asst. Prof |
| 21 | Niraj Kumar | Asst. Prof |
| 22 | Aditya Chaudhary | Asst. Prof |
| 23 | Kabita Kumari | Asst. Prof |
| 24 | Abhishek Sharma | Asst. Prof |
| 25 | Rupesh Kumar | Asst. Prof |
| 26 | Kumari Neelam Gupta | Asst. Prof |
| 27 | Depti Singh | Asst. Prof |
| 28 | Kalyan Chanchal | Asst. Prof |
| 29 | Ashish Kumar | Asst. Prof |
| 30 | Kumar Gaurav | Asst. Prof |
| 31 | Rahul Kumar | Asst. Prof |
| 32 | Soni Kumari | Asst. Prof |
| 33 | Sweta Singh | Asst. Prof |
| 34 | Sweety Kumari | Asst. Prof |
| 35 | Pawan Kumar Singh | Asst. Prof |
| 36 | Shelvi | Asst. Prof |
| 37 | Guddi Kumari | Asst. Prof |
| 38 | Chitranshu Udit | Asst. Prof |
| 39 | Diwakar Kumar | Asst. Prof |
| 40 | Sonam Kaushik | Asst. Prof |